
역학(力學)과 같은 이론적 학문분야와 달리 철근콘크리트나 강구조 등 실무분야는 이론 뿐만 아니라 실제 사례 혹은 시험결과의 응용을 통해 설계기준이 결정되므로 기술의 발전에 따라 기준도 변화한다.
군대를 갔다와서 학부 3학년에 복학하여 철근콘크리트 과목을 수강했는데 그때 처음으로 콘크리트구조설계기준(KCI 1999)을 접했다. 이후 한참 뒤 토목구조기술사를 공부하면서 다시 설계기준을 보게 되었는데 학부때 접했던 기준의 일부 개정은 있었지만 큰 틀에서 차이는 별로 없어서 공부하는데 큰 어려움은 없었다.
그러나 본격적인(?) 장수생의 길로 들어서면서 2012년 도로교설계기준이 한계상태법으로 전면 개정된다는 청천 벽력과 같은 소식을 접하게 되었다. 불행중 다행인지 기준 변경으로 인한 혼란을 막고자 3년간 시행을 유예하면서 한숨 돌리는가 했는데 2015년까지도 여전히 수험생 신분이었던 나에게 시행 유예는 결과적으로 큰 의미가 없었다.
한계상태설계법은 기존에 대세를 이루던 강도설계법과 완전히 다른 차원의 것이었고 이것을 순전히 독학으로만 공부하는 것은 쉬운일이 아니었다. 그나마 한계상태설계법은 말그대로 '도로교' 설계에만 적용되고 일반적인 콘크리트 구조물에서는 여전히 강도설계법을 기반으로 하는 콘크리트구조기준이 유효하여 2가지 설계가 공존하는 상황이 되버렸다.
당시 나는 한계상태설계법 전체를 다 공부했던 것은 아니고(물리적으로도 불가능함) 시험에 주로 출제되는 휨설계와 전단설계 위주로 공부했는데 내용이 너무 어려운데다 참고 서적 조차 없어 이래저래 고생을 많이 했던 기억이 난다.
어찌되었건 우여곡절 끝에 토목구조기술사에 합격을 했고 몇년간 공부에 손을 놓고 살다가 얼마전부터 이러저러한 연유로 모 대학의 토목공학과 야간대학원을 다니고 있는데 이번 학기 수강한 콘크리트구조특론 과목 수업에서 뒤늦게 콘크리트구조기준이 새롭게 바뀌었다는 사실을 알게 되었다.
'KDS 14 20'으로 통칭되는 콘크리트구조기준이 단순히 도로교설계기준의 한계상태설계법으로 통일된 것이리라 추정했는데 수업을 듣다 보니 강도설계법을 유지하되 기존과 달리 많은 부분이 개정되었다. 특히 휨설계 부분에서 큰 변화가 눈에 띄었다.
또한 확률론에 기초한 신뢰성 해석의 결과를 반영했다고 하니 한계상태설계법의 설계 컨셉을 상당부분 담았다는 의미인데 여전히 설계기준에는 강도설계법으로 명시된 것을 보아 강도설계법에서 한계상태설계법으로 나아가기 위한 과도기적 변화가 아닌가 싶다. (언젠가는 도로교설계기준처럼 한계상태설계법으로 바뀌겠지..)
특히 휨설계에서 콘크리트의 극한변형률이 변경되었고, 등가직사각형 응력분포와 포물선-직선 형상의 응력분포 두가지를 모두 사용할 수 있게 한 것 등 실제 문제를 풀려보려고 하니 처음 해보는 내용이라 생소한데다 익숙치 않은 기준이어서 혼란스러웠다.
중간고사 준비를 위해 오랜만에 문제를 풀다보니 당연히 몇년전까지 공부했던 토목구조기술사 시험이 생각나면서 수험생들이 겪을 혼란이 가장 먼저 떠올랐다. 교수님 말씀에 따르면 토목기사의 철근콘크리트 과목에서 학생들 혼란 때문에 작년에는 개정된 기준 관련한 계산 문제를 하나도 출제하지 않았고 올해부터 출제한다고 한다.
한동안 안봤던 최근 토목구조기술사와 건축구조기술사 기출문제를 오랜만에 살펴보니 현재까지 개정된 기준으로 건축구조기술사에서만 딱 한번 출제되었다.

결론적으로 중국 역사시간에 책으로만 배웠던 '도량형 통일'이 시행 초기 왜 사회적 혼란을 가져올 수 밖에 없었으며 또한 단위나 기준의 통일이 얼마나 중요한지 새삼 깨닫게 되는 요즘이다.
사실 대학원 수업이 아니었다면 설계기준의 개정 조차 모르고, 설사 알았다고 하더라도 세부적인 내용까지 확인해보지 못했을 것이다. 철근콘크리트의 다양한 휨설계를 다 공부한 드문 사례가 아닐런지. ㅎㅎ
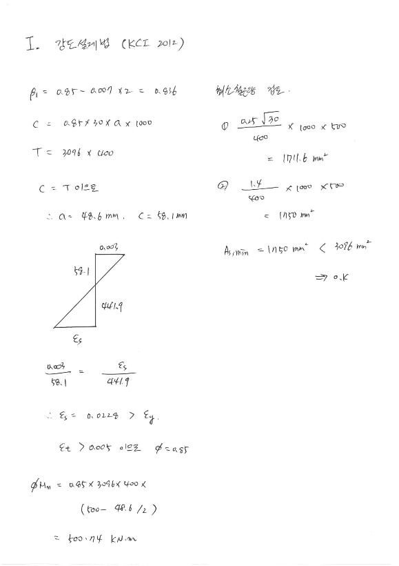
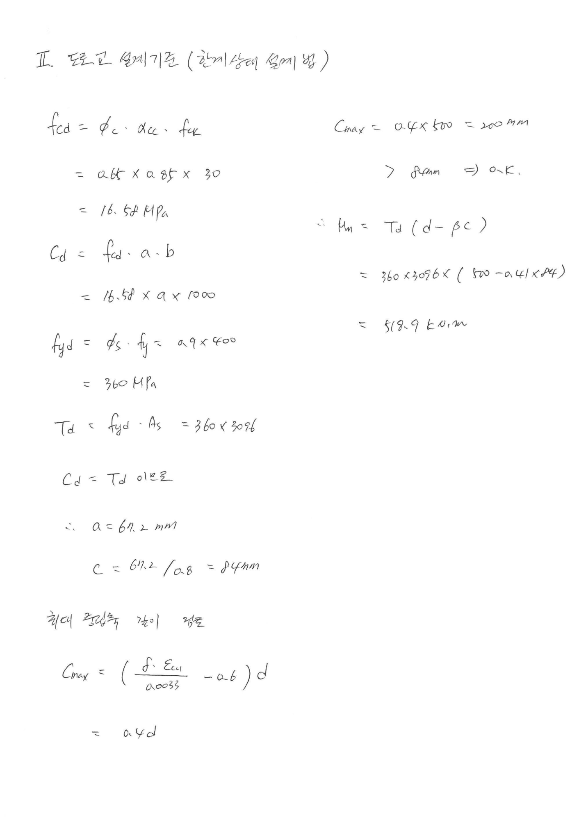
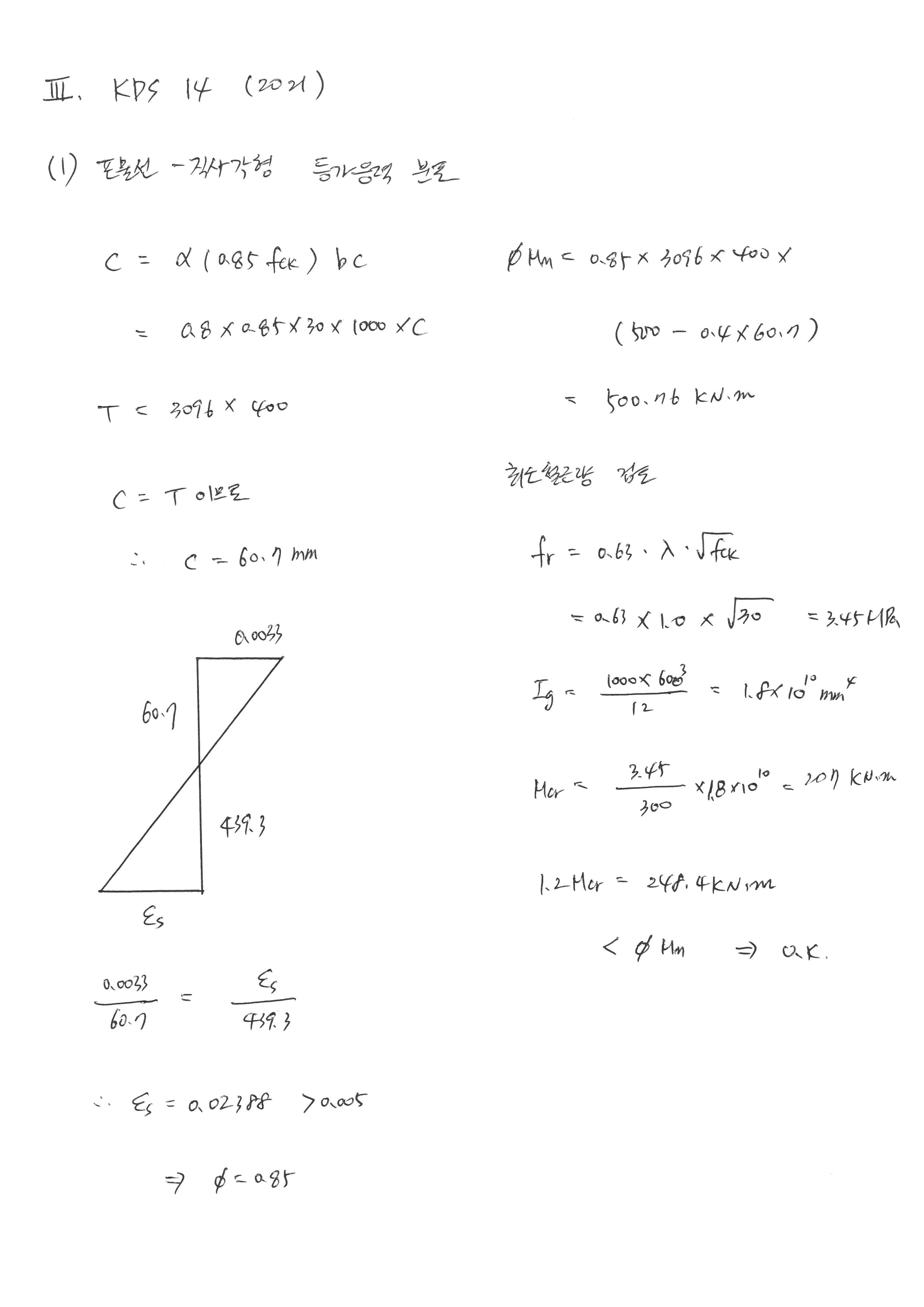
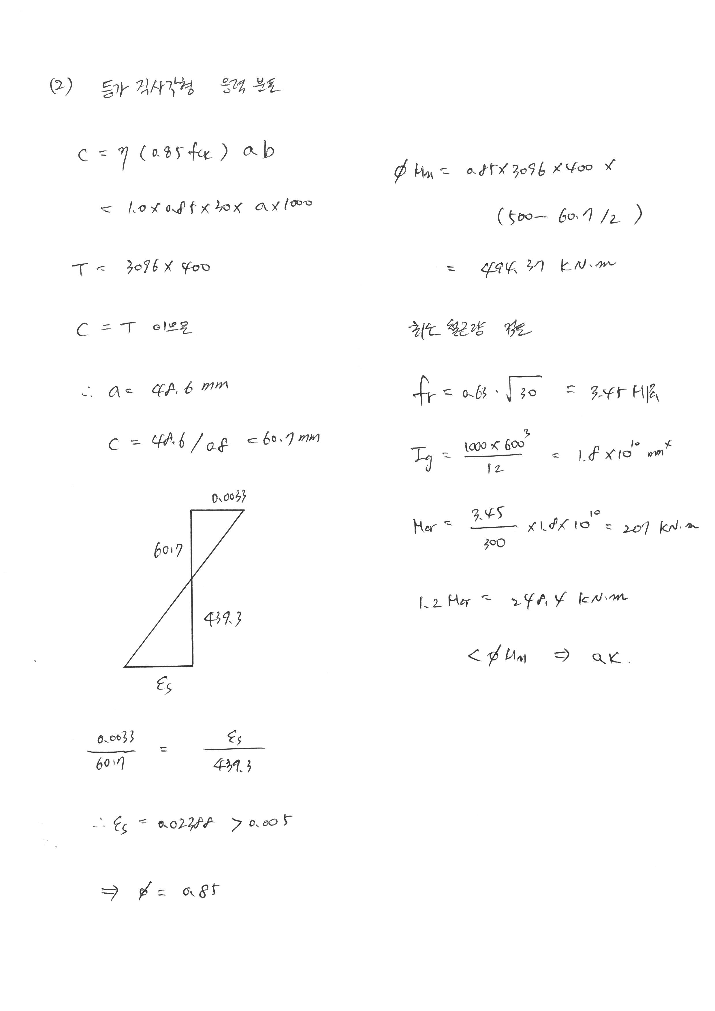
참고로 그동안 내가 공부해왔던 콘크리트 관련 설계기준을 정리해 보는 차원에서 동일한 조건의 콘크리트보 휨설계 문제를 올려본다.





'토목구조기술사 도전기 > 뒷담화' 카테고리의 다른 글
| 호주 하버 브릿지(Harbour Bridge) (2) | 2025.09.14 |
|---|---|
| 일과 공부 혹은 가정과 공부 (4) | 2023.04.27 |
| 사인곡선과 슬럼프 (2) | 2022.02.04 |
| 통섭의 아름다움 (4) | 2021.04.16 |
| 선의는 여기까지 (5) | 2020.11.15 |